Anno XI, Numero 3 - settembre 2017
  • Il complesso vitaminico B nel trattamento del mal di schiena: le basi biologiche di un'azione efficace
Redazione On Medicine

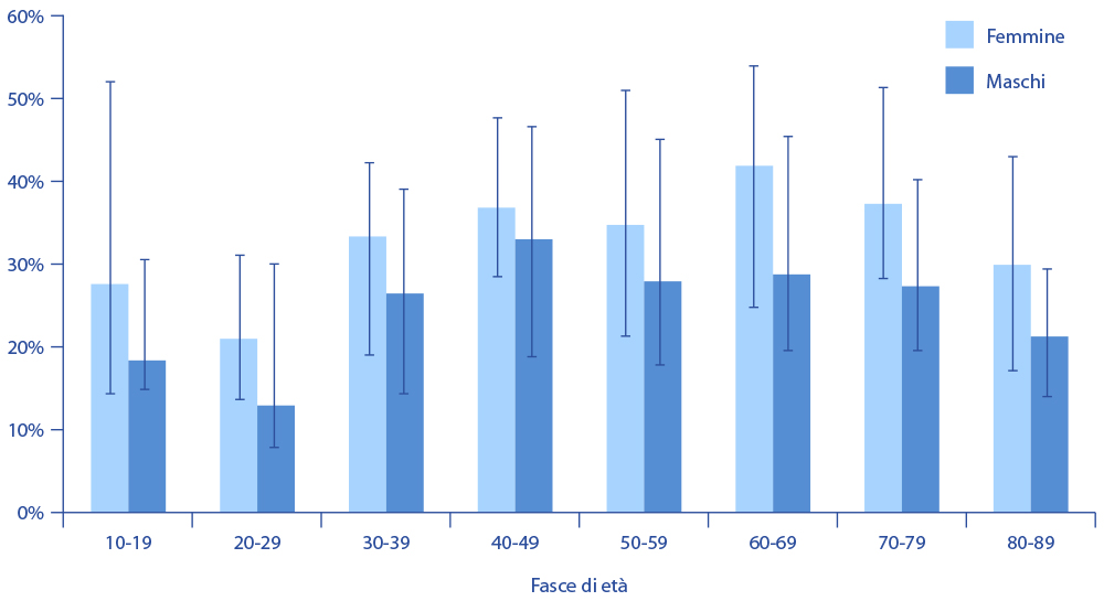
Il mal di schiena è una affezione acuta che affligge un'ampia fascia di popolazione: si stima che il 60-80% degli individui prima o poi ne soffrano.1 L'attività lavorativa fisica intensa, uno stile di vita inappropriato, il sovrappeso e la mancanza di un'adeguata prevenzione contribuiscono all'elevata diffusione di questa patologia che costituisce una delle principali cause di dolore cronico nel mondo, raggiungendo la massima prevalenza nel sesso femminile e nella fascia di età compresa tra i 40 e gli 80 anni (Fig. 1).2,3



Figura 1. Prevalenza del mal di schiena in base all'età e al sesso.3


Il peso socio-economico del mal di schiena è elevato: negli USA rappresenta il 2% dei motivi di tutte le visite ambulatoriali,2 mentre i dati europei mostrano che il 60% degli individui affetti da questo disturbo ricorre alle cure del medico da due a nove volte al semestre.4 Oltre ad avere un importante impatto sulle risorse sanitarie, il mal di schiena condiziona pesantemente anche l'ambito produttivo: si manifesta infatti in modo particolare nel corso della mezza età, periodo in cui le abilità professionali sono maggiori, provocando una riduzione della capacità lavorativa, quando non addirittura una vera e propria inabilità, in circa il 60% dei casi.3,4


Inquadramento del paziente con mal di schiena


Nella lombalgia/lombosciatalgia cronica sono due le componenti coinvolte: quella infiammatoria (definita anche nocicettiva) e quella neuropatica (Tab. 1). La prima risulta dall'attivazione dei nocicettori che innervano legamenti, articolazioni, muscoli e tendini in risposta a processi infiammatori, danno tissutale e stress biomeccanico. La componente neuropatica si estrinseca invece nel dolore che deriva dai processi patologici che coinvolgono direttamente le radici nervose del midollo spinale; spesso si verifica una combinazione delle due componenti che configura una sindrome da dolore misto.5



Tabella 1. Elementi distintivi del dolore nocicettivo e neuropatico.


I pazienti con lombosciatalgia differiscono nelle loro manifestazioni cliniche per tipologia, localizzazione e intensità dei sintomi, anche se in linea generale il dolore e le limitazioni funzionali ne costituiscono i principali disturbi e condizionano direttamente la qualità di vita del paziente.2
La valutazione di un paziente con sospetta lombalgia/lombosciatalgia cronica include una dettagliata anamnesi, un esame obiettivo generale e un esame neurologico completo; prevede una valutazione accurata della sensibilità, di movimento e forza muscolare, dei riflessi osteo-tendinei e del sistema vegetativo, insieme all'esame muscoloscheletrico e alla palpazione della colonna, al fine di identificare un'eventuale disfunzione neurologica o anomalia strutturale. Nel caso si sospetti una componente neuropatica, è necessario focalizzarsi sulla possibile identificazione di un'alterazione somatosensitiva compatibile con la distribuzione anatomica e il tipo di sintomi descritti (Tab. 2).
I processi patologici sono in genere diversi da paziente a paziente: il medico dovrebbe fare ogni sforzo per identificarli, ed impostare quindi una corretta strategia terapeutica personalizzata.5



Tabella 2. Segni e sintomi associati a dolore neuropatico5mod


Approccio farmacologico al mal di schiena


La causa del dolore influenza il trattamento del mal di schiena, che può essere non chirurgico o, nei casi più severi, chirurgico. Le attuali linee guida terapeutiche raccomandano un approccio multimodale alla gestione della lombalgia/lombosciatalgia cronica, combinando terapie farmacologiche per il trattamento sintomatico con approcci non farmacologici: trattamenti riabilitativi, attività fisica, interventi comportamentali e psicosociali.2,5
I farmaci più comunemente impiegati nella gestione del mal di schiena sono gli antinfiammatori non steroidei (FANS), che differiscono fra loro per struttura chimica, potenza antinfiammatoria, attività analgesica e specificità per le differenti isoforme di ciclossigenasi. Una serie di evidenze sperimentali concordano sull'utilità di associare al trattamento con FANS il complesso vitaminico B per conseguire un effetto terapeutico sinergico.2


Lombosciatalgie e vitamine del gruppo B


L'integrazione con complessi vitaminici del gruppo B, in particolare con le vitamine B1 (tiamina), B6 (piridossina) e B12 (cobalamina), rappresenta un'importante opzione nell'approccio terapeutico al mal di schiena per il loro dimostrato effetto analgesico, neuroprotettivo e antinfiammatorio.6,7


Contro il dolore


Questi composti esercitano un'efficace azione antidolorifica soprattutto quando assunti in combinazione;7 tale effetto è da attribuire a una maggiore disponibilità e/o efficacia di noradrenalina e 5-idrossitriptamina, neurotrasmettitori che esercitano un'azione inibitoria nella trasmissione del dolore nocicettivo, e all'inibizione di alcuni processi fisiopatologici coinvolti nel dolore neuropatico. In particolare:
  • la vitamina B1 è coinvolta nel blocco ganglionare e nella soppressione della trasmissione nervosa a livello muscoloscheletrico5,8
  • la vitamina B6 svolge un ruolo chiave nel metabolismo della serotonina, neurotrasmettitore coinvolto nel controllo del dolore5,8
  • la vitamina B12 facilita la trasmissione noradrenergica e serotoninergica, responsabili dell'inibizione del sistema nocicettivo e/o della sintesi dei mediatori dell'infiammazione.5

Nei pazienti con componente mista del dolore, l'associazione di vitamine del complesso B sinergizza l'azione sia dei FANS (Fig. 2) sia dei cortisonici, migliorando la rapidità di insorgenza dell'azione antalgica e l'efficacia antidolorifica del trattamento.1,2,5,7,9


Figura 2. Riduzione significativa del dolore lombosciatalgico (misurato con scala analogico visiva del dolore, VAS) dopo trattamento combinato FANS + complesso vitaminico B per un periodo mediano di 7 giorni.2


Gli effetti analgesici delle vitamine B1, B6 e B12 sono supportati da una serie di evidenze che mostrano anche un potenziamento analgesico dose-dipendente: a dosaggi più elevati corrispondono benefici più immediati e sostenuti sulla sintomatologia dolorosa.5


Contro l'infiammazione


Le vitamine B1, B6 e B12 esercitano un effetto antinfiammatorio determinando un'inibizione sulla sintesi di mediatori dell'infiammazione.2,8,10,11 Le evidenze scientifiche mostrano che la vitamina B1 è in grado di associare a una rilevante azione analgesica una significativa attività antinfiammatoria,10 e che livelli plasmatici ridotti di vitamina B6 si associano a patologie infiammatorie croniche quali l'artrite reumatoide.11 ?? stato dimostrato che la vitamina B12 esplica la sua azione antinfiammatoria inibendo l'azione di mediatori quali l'NF-kB e l'ossido nitrico, e favorendo la fosforilazione ossidativa.12


A tutela dell'integrità del nervo


Nella gestione terapeutica del mal di schiena, la supplementazione con fattori neurotrofici, associata alle terapie mirate alla patologia di base, alle terapie fisiche, alle tecniche di riabilitazione e al trattamento dei sintomi dolorosi, consente un migliore recupero dell'integrità anatomo-funzionale del nervo. A tale proposito, le vitamine B1, B6 e B12 costituiscono un'importante opzione per la loro azione neuroprotettiva, che si affianca al loro effetto antinfiammatorio e antalgico.6 Queste sostanze partecipano come fondamentali cofattori a molte reazioni metaboliche cellulari, come il metabolismo dei carboidrati (B1) e degli aminoacidi (B6), la sintesi e la regolazione del DNA e degli acidi grassi, la produzione di energia e la rimetilazione dei folati (B12).6,13 La vitamina B12, inoltre, stimola i processi di rimielinizzazione partecipando al ricambio dei fosfatidi, principali costituenti della fibra mielinica.6,13


Conclusioni


La combinazione di vitamine B1, B6 e B12 ha dimostrato di influenzare vantaggiosamente il quadro clinico delle lombosciatalgie e di favorire il conseguimento di significativi miglioramenti nei casi sia acuti sia cronici.13 Il razionale di utilizzo di queste vitamine si basa sull'attività neuroprotettiva, che si esplica promuovendo l'integrità anatomica e funzionale delle strutture nervose periferiche, e sul loro effetto antinfiammatorio e antalgico, che esercita un effetto terapeutico sinergico in associazione ai FANS, con una conseguente potenziale precocità della risposta terapeutica e una più breve durata del trattamento (Fig. 3).1,2,5,7,9



Figura 3. Azioni delle vitamine B1, B6 e B12.


Nei prossimi decenni l'aumento dell'aspettativa di vita porterà inevitabilmente a un significativo incremento della popolazione affetta da mal di schiena.3 Dal momento che la lombalgia/lombosciatalgia cronica è spesso caratterizzata da entrambe le componenti nocicettiva e neuropatica, il ricorso a una politerapia razionale, diretta ai diversi aspetti fisiopatologici di questo disturbo, resterà verosimilmente un approccio percorribile anche nel panorama terapeutico futuro.


A cura della Redazione



Bibliografia


  1. Medina Santillán R, et al. Dexamethasone alone versus dexamethasone plus complex B vitamins in the therapy of low back pain. Proc West Pharmacol Soc 2000;43:69-70.
  2. Gandolini G, Iudice A. Trattamento farmacologico della lombosciatalgia acuta: efficacia dell'associazione di FANS e complesso vitaminico B. Aggiornamento Medico 2015;39:5-6.
  3. Hoy D, et al. A systematic review of the global prevalence of low back pain. Arthritis Rheum 2012;64(6):2028-37.
  4. Breivik H, et al. Survey of chronic pain in Europe: prevalence, impact on daily life, and treatment. Eur J Pain 2006; 10: 287-333.
  5. Iudice A. La componente neuropatica nella lombalgia/lombosciatalgia cronica. Rivista Società Italiana di Medicina Generale 2016;6:33-8.
  6. Terni E, et al. Appropriatezza diagnostica e trattamento delle neuropatie periferiche. Aggiornamento Medico 2015;39:15-9.
  7. Jurna I. Analgesic and analgesia-potentiating action of B vitamins. Schmerz 1998;12(2):136-41.
  8. Hank A, Weiser H. Analgesic and anti-inflammatory properties of vitamins. Int J Vitam Nutr Res Suppl 1985;27:189-206.
  9. Mibielli MA, et al. Diclofenac plus B vitamins versus diclofenac monotherapy in lumbago: the DOLOR study. Curr Med Res Opin 2009;25:2589-99.
  10. Moallem SA, et al. A study of acute and chronic anti-nociceptive and anti-inflammatory effects of thiamine in mice. Iran Biomed J 2008;12:173-8.
  11. Lotto V, et al. Vitamin B6: a challenging link between nutrition and inflammation in CVD. Br J Nutr 2011;106:183-95.
  12. Lee YJ, et al. Associations between vitamin B-12 status and oxidative stress and inflammation in diabetic vegetarians and omnivores. Nutrients 2016;8:118.
  13. Sabatini A, Gospodinoff M. Terapia delle neuropatie periferiche. Clin Ter 1983;107:103-8.